🔴نصيحة

📈 من 10 دولارات إلى أكثر من 80 ألف في 30 يومًا فقط؟ يبدو وكأنه احتيال صحيح؟ 😂 لكن لا، دعنا نفصل الأمر 💸

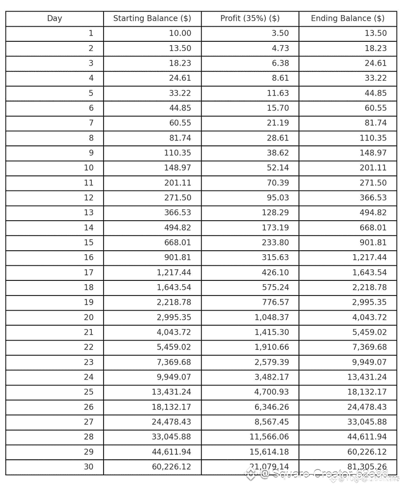
لذا نعم، فكرة تحويل 10 فقط إلى 81,305 في شهر تبدو مجنونة جدًا ولكن مع قوة التراكم + النمو اليومي، إنها في الواقع رياضيات وليس سحر 💡💰

تخيل هذا — تحقق مكسبًا بنسبة 35% يوميًا على حسابك. مكاسب صغيرة، تتم بشكل مستمر، وتعيد استثمار كل مرة 📊 هذا هو المكان الذي يحدث فيه السحر. ليس في ضخة محظوظة واحدة كبيرة، ولكن في انتصارات صغيرة تتراكم يومًا بعد يوم 📆

day 1, لديك 10. بحلول اليوم 2 يصبح 13.50. ثم 18.23. ثم 24.61... استمر وبحلول اليوم 30، بوم 💥 81,305 دولار يجلس في حسابك. ليس الأمر سهلاً على الإطلاق، ولكن من الممكن إذا تعاملت مع اللعبة بالانضباط والصبر 🧘‍♂️📈

لكن لا تفهم الأمر بشكل خاطئ. هذا ليس شيئًا يجعلك غنيًا بسرعة. النمو بنسبة 35% يوميًا يعني أن تكون حذرًا — جني الأرباح، تقليل الخسائر، وعدم المخاطرة بكل شيء في صفقة واحدة ❌🎯

الأمر كله يتعلق بحماية رأس مالك أولاً. مثل، لا تذهب إلى رافعة 100x على عملة عشوائية لأن بعض المؤثرين قالوا ذلك 😅 كن ذكيًا في دخولك، دائمًا استخدم وقف الخسارة، ولا تكن جشعًا. نم ببطء ولكن بثبات 🐢💪

معظم الناس يخسرون حساباتهم ليس لأنهم لم يكن لديهم خطة، ولكن لأنهم لم يتمسكوا بها. الانضباط يتفوق على الضجة في كل مرة 📉 مقابل 📈

لذا إذا كنت تبدأ صغيرًا، لا تشعر بالإحباط. كل 10 يمكن أن تصبح شيئًا جنونيًا مع الوقت والجهد والعقلية الصحيحة 💥🔥

الاستمرارية > كل شيء. هذه هي الشيفرة الحقيقية في التداول.

$DASH

#DASH

$BTC

#compounding #CryptoGrowth #TradingJourney